TC4鈦合金作為α+β型雙相合金,具備高比強度、良好的耐腐蝕性以及高耐熱性等卓越性能,在航空航天、深淺探測、精密制造、醫療器械等前沿領域得到廣泛應用[1-2]。鑒于鈦合金制成的零件,特別是TC4鈦合金制成的壓氣機葉片和風扇葉片等往往具有較高附加值,且因其服役環境較為惡劣,故而在設計制造時,要求 TC4鈦合金制零件具備較長的服役壽命 [3]。在服役過程中, TC4鈦合金零部件受高周或超高周交變載荷作用,其葉片表面通常會萌生疲勞裂紋,形成表面缺陷,進而引發零部件的局部失效 [4?6]。這些表面缺陷是致使零件整體報廢的主要因素,若 TC4鈦合金制零件在服役過程中出現破壞,將造成嚴重的人員傷亡和經濟損失 [7]。
應力集中系數作為定量表征缺口應力集中程度的關鍵指標,主要用于表面缺陷材料的強度分析以及微觀裂紋擴展分析,在工程實踐以及機械裝備的制造與檢驗領域得到廣泛應用 [8?10]。 Ding等 [11?12]通過數值模擬分析與修正 Morrow法,結合表面缺口鈦合金板件試驗,對 TC4鈦合金曲面缺口件的應力集中系數展開估算,構建了基于數值分析的應力集中計算模型。研究表明,鈦合金缺口件二次裂紋密度與缺口寬度呈負相關關系。HSU等[13]借助應力集中系數,對電火花加工 TC4鈦合金孔的加工質量進行評估,并分析得出影響加工質量的主要因素為電火花加工能量束的集中程度。 Zhang等 [14]結合應力集中系數,對醫用鈦合金 Ti2448缺口損傷的形成路徑及成因進行剖析,明確了合金缺口敏感性的成因在于納米級別調制,進而獲得了平衡強度與損傷容限性能的新策略。
近年來,伴隨神經網絡算法相關研究的迅猛發展,諸多人工智能算法與機器學習算法在材料強度分析及安全性預測領域得到了廣泛應用 [15]。同時,在微觀裂紋擴展對疲勞強度的影響方面,也有眾多學者開展了相關研究 [16]。 Wang等 [17?18]以 Murakami方程為基礎,結合 BP神經網絡算法,探究了鈦合金 TC17表面劃痕對疲勞極限的作用機制,構建并驗證了具有表面劃傷的 TC17鈦合金軸疲勞壽命評估的新模型。
基于上述研究內容,本研究以 TC4鈦合金缺口試件為研究客體,開展不同缺口深度下的斷裂數值模擬與試驗,并結合應力集中系數,剖析缺口深度對 TC4鈦合金斷裂行為的影響。綜合試驗與仿真結果,運用長短期記憶(long short-term memory,LSTM)
神經網絡對 TC4鈦合金缺口件的斷裂行為進行分析計算,借助人工神經網絡算法處理非線性關系的優勢,全面分析缺口物理參量對TC4鈦合金斷裂行為的影響。最終,提出一種可應用于工程實踐的、基于LSTM神經網絡的TC4鈦合金表面缺口對其斷裂力學性能作用規律的分析方法。
1、鈦合金缺口試件斷裂數值仿真
1.1表面缺口鈦合金試件有限元分析
對于表面缺口試件,其缺口部位失效的主要原因是應力集中。使用常規的測量手段難以獲得應力集中部位的應力信息,因此使用數值模擬技術對斷裂過程及缺口應力集中現象進行分析。根據GB228.1一2021《金屬材料拉伸實驗第 1部分:室溫實驗方法》,板材試件形狀為“啞鈴型”,缺口設置在試件中部,使用 Abaqus軟件建立 TC4鈦合金缺口件數值仿真模型,幾何尺寸和缺口局部細化如圖 1所示。TC4鈦合金作為彈性材料,斷裂過程受彈塑性共同作用。 Johnson-Cook本構模型(下稱 JC本構模型)廣泛應用于金屬材料斷裂失效分析。模型表達式為:

式中: A為參考應變率與參考溫度下材料的屈服強度, B為材料的硬化模量, n為材料的硬化指數,在室溫條件下,公式后兩項恒為 1,因此影響材料斷裂性能的主要參數為 A、 B和 n。本試驗材料 JC本構模型如表 1所示 [17]:
表 1 TC4鈦合金 JC本構模型參數
Tab 1 JC constitutive model parameters of TC4 titanium alloy
| A | B | n | C | m |
| 945 | 652 | 0.45 | 0.0195 | 0.0195 |
以表面無缺口試件(TC4-S)為參考,設計缺口深度作為主要變量,建立不同缺口深度的鈦合金缺口件模型,缺口深度分別設定為 1、 1.5、 2.5 mm,分別對應較淺(TC4-L)、中等(TC4-M)、較深(TC4-D)3組試件。缺口長度與寬度分別為 10mm和 5mm。通過網格布種對缺口區域進行網格細分,使用C3D10M四面體網格,獲得網格數量 7825~14178個。試件一端施加全固定約束,另一端施加等速率位移加載,加載速率為 1.3 mm/min,數值仿真過程中,載荷從 0 MPa開始加載直至試件斷裂結束。

1.2結果分析與討論
TC4缺口試件斷裂過程仿真結果如圖2所示,缺口試件的斷裂過程分為3個階段。第1階段,隨著載荷持續作用,試件缺口位置產生應力集中,并隨著載荷的增加而逐漸加劇。當應力上升至最大值后,進入斷裂第2階段,缺口底部產生裂紋,并沿應力梯度方向擴展,試件發生局部斷裂。隨著斷裂的進一步擴展,試件進入斷裂第3階段,試件缺口部位發生嚴重頸縮并最終斷裂。

如圖 3所示為不同缺口尺寸試件斷裂過程中的最大應力,應力集中主要出現于缺口底部和缺口邊緣兩端,并沿缺口中心向兩端延伸。將缺口底部仿真結果最大點的第一主應力作為表面缺口局部最大單元應力值,可以獲得不同缺口深度下的應力集中數據。其中如圖3(a)所示,隨著缺口深度的增加,缺口底部最大單元應力曲線整體左移,材料失效更早發生。圖3(b)所示為缺口失效點最大單元應力,當缺口深度未超過板厚50%時,應力集中與缺口深度正相關,失效點應力整體上升。當缺口深度超過板厚50%時,由于主體斷裂行為由塑性變為脆性,失效點應力屬性變化,失效點應力下降。

1.3應力集中系數
應力集中系數是定量分析缺口應力集中程度的關鍵參數[19-20]。應力集中系數定義為彈性階段缺口根部最大應力 σN 與名義應力 σR 之比,記為 KT 。根據有限元分析,當施加應力達到1MPa時,缺口底部應力與應力集中系數在數值上相等。基于此獲得各缺口深度下的線彈性應力集中系數,如圖4所示。可以看出,應力集中系數與缺口深度呈近似線性關系并滿足關系式: KT = 0.30x + 0.99。

Inglis公式提出了針對橢圓形中心孔的應力集中表達式:

式中: d為缺口深度, mm; ρ為缺口底部曲率半徑,mm。Inglis公式具有簡單,參數少的優點,但針對較深缺口, Inglis公式的預測誤差較大,由于缺口的寬度和試樣的厚度等因素也對缺口應力集中存在一定程度的影響, Ding等 [9]針對不同試件深度、厚度和缺口尺寸進行大量數據擬合分析,提出基于試件厚度的修正 Inglis公式:

式中h為試件厚度,mm。分別將3種試件缺口參數代入獲得不同缺口深度條件下的應力集中系數 Kt ,定義誤差 ε為:

表2不同深度應力集中系數仿真值和計算值及誤差
Tab 2 Simulated and calculated values and errors of stress concentration coefficients at different depths
| d/mm | 仿真值 KT | 計算值 Kt,D | 誤差 εD/ | 計算值 Kt,D | 誤差 ε ing % |
| 1 | 1.277 8 | 1.3976 | 9.38 | 1.3976 | 9.41 |
| 1.5 | 1.4780 | 1.4869 | 0.60 | 1.4850 | 0.64 |
| 2.5 | 1.6402 | 1.6286 | -0.71 | 1.6286 | -0.66 |
可以看出,對于3種缺口深度的試件,修正后的Inglis公式擬合誤差率均小于10%,在缺口深度1mm和1.5mm試樣分析中,修正后的Inglis公式相比傳統 Inglis公式在準確性上有一定程度的提高。因此可以認為修正后的Inglis公式能夠較為準確地計算不同缺口深度下TC4鈦合金的應力集中系數。
2、鈦合金缺口試件斷裂試驗
2.1試驗試件材料及方法
試驗試件 TC4鈦合金的化學成分如表 3所示。TC4試件的熱處理工藝為:1)再結晶退火,760C保溫1h,隨爐冷后冷卻至590℃后空冷;固溶時效處理, 850 °C保溫 1h,水淬;保溫 8 h,空冷。TC4鈦合金試件的力學性能如表4所示。
為定量分析缺口深度對試件斷裂行為的影響,結合仿真結果,實驗中同樣設計TC4-L、TC4-M及TC4-D3組試件。缺口幾何尺寸與有限元仿真一致,試件幾何形狀如圖5(a)所示。試驗所用系統為馨標
電子萬能試驗機,拉伸速率 1.3 mm/min,應變采集使用 LEC50軸向電子引伸計,標距 50 mm,量程±2.5mm,如圖 5(b)所示。
表 3 TC4鈦合金試樣化學成分
Tab 3 Chemical composition of titanium alloy TC4 sample
| 元素 | Al | V | Fe | C | N | H | O |
| 質量分數 | 6.2 | 4.1 | 0.30 | 0.10 | 0.05 | 0.015 | 0.20 |

表4TC4鈦合金試件力學性能
Tab 4 Mechanical properties of titanium alloy TC4 specimens
| 抗拉強度 Rm/MPa | 屈服強度 os/MPa | 延伸強度 Rp0.2/MPa | 伸長率 % | 收縮率 % | 彈性模量 E/GPa | 泊松比 |
| 945 | 892 | 835 | 10 | 25 | 115 | 0.34 |
2.2試驗結果及分析
圖6為不同缺口深度的TC4鈦合金板材試件的位移載荷P-L曲線。如圖6(a)所示,對于表面無缺口的試件,其斷裂過程會出現大范圍的均勻塑性
變形和頸縮。缺口的幾何參數對于斷裂行為具有較大影響,對于缺口深度1.0mm和1.5mm,其斷裂過程中仍存在均勻塑性變形,說明試件斷裂前發生屈服,但其塑性變形較表面無缺口試件大幅縮小。
對于缺口深度2.5mm試件,其斷裂發生于均勻塑性變形前的應變硬化階段。隨著缺口深度的增加,試件的整體承載能力下降,硬化程度降低。
名義應力適用于工程上分析拉伸試件的危險截面承載狀況[20]。其定義為外載荷與試件承載部位凈截面積之比:

經過測量, 3種缺口深度試樣承載區域的平均等效橫截面積 S0分別為 87.90、88.52、88.06 mm2。試樣兩端夾持部分不參與試樣整體變形,因此分析試樣中間過渡部分與試驗部分可以獲得試樣的整體應變隨加載變化的曲線。經過計算獲得試樣加載過程的名義應力,最終得到加載過程的名義應力-整體應變關系,如圖7所示。依據曲線及試件的斷裂極限分析可以得出:1)對于缺口深度 1mm和 1.5 mm的試件,由于其斷裂過程受彈性變形和塑性變形的共同作用,斷裂為延展性斷裂。2)而對于缺口深度 2.5 mm的試件,其斷裂發生在塑性變形之前,斷裂形式為彈性剪切斷裂。
根據應力集中系數預測 K t,D 修正公式(3)和應力集中系數 K T 的定義,可以對局部應力進行推算,獲得3種深度條件下的最大應力集中點應力變化曲線,如圖7(b)所示。3種缺口深度試件屈服前的極限應力分別為1210.49、1193.03、1118.74MPa,與仿真缺口底部最大單元應力誤差分別為15.46%、4.06%、6.87%。基于以上仿真結果可以分析:在斷裂過程中,應力集中現象集中發生于缺口底部,應力集中最為嚴重的部位集中于缺口底面下方區域。隨著缺口深度增加,由于缺口邊界等區域幾何形狀突變加劇,應力集中現象進一步加劇,局部應力進一步增加。結合應力云圖分析, 3種缺口深度的試件,缺口底部應力集中現象對斷裂行為起主導作用,缺口根部垂直縱深和曲面頂部交界部位由于存在曲率突變區域,該區域的應力突變現象十分劇烈,因此在裂紋打磨過程中需要盡量避免此種類的缺口,盡量保證缺口部位的曲率平滑。


2.3不同缺口深度下試件的斷裂行為
圖 8為各缺口試件斷口截面的宏觀組織和仿真截面圖。對于延展性斷裂的(TC4-L、TC4-M)缺口試件,其斷裂失效最初發生于缺口底部,并向兩端擴展(圖 8a、b)。缺口存在絮狀或顆粒狀明顯塑性斷裂特征,影響試樣斷裂的主要因素為塑性斷裂。對于彈性斷裂的(TC4-D)缺口試件,其斷裂面比較平齊,斷裂面與載荷方向呈 45 °夾角(圖 8 c)。雖然試件 TC4-D和試件 TC4-S的斷裂面均為 45 °剪切面,但二者的斷裂形式和斷裂面宏觀表面形貌均不相同,表面無缺口試樣的主要斷裂形式為塑性斷裂,而試樣 TC4-D的主要斷裂形式為彈性剪切斷裂。

3、基于 LSTM的 TC4缺口件力-變形規律分析
LSTM神經網絡在一維序列分類和擬合上具有較高的優勢 [21?23]。其結構如圖 9所示。 LSTM層的每一個神經元中都具有獨特的輸入門、遺忘門和輸出門結構,如圖 10所示, LSTM神經網絡通過 3種門結構,允許其在運算中對數據進行判斷、保存和更新。

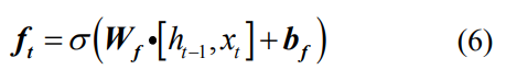
如圖 11所示,LSTM層中每個神經元中均包含兩種重要的歸一化函數 Sigmoid和 tanh [24]。 x t 表示t時刻神經元的輸入, h t 表示 t時刻神經元隱含狀態, C t 表示 t時刻神經元輸出狀態。神經元在讀取上一時刻的輸出的 h t?1 和當前時刻輸入的 x t ,在通過Sigmoid函數激活后,獲得輸入向量 f t ,由于 Sigmoid函數特性,每一個向量 f t 維度均在 0~1之間,在通過遺忘門時, 0完全舍棄, 1完全保留,最后再與細胞狀態 C t?1 相乘。 f t 的表達式為

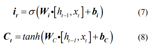
式中: W f 為權值向量; h t?1 為前一時刻輸出; x t 為當前時刻輸入; b f 為偏置向量; σ為 Sigmoid函數。輸入門獲得輸入信息的方式與遺忘門相同,均是通過共享權值與偏置向量進行運算,并通過 tanh層進行相似變換得到候選向量 C t 。

式中: W i 、W C 均為權值向量; b i 與 b c 為偏置向量。在獲得以上輸入內容后,可以對當前時刻神經元狀態進行更新,即:

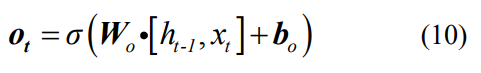
輸出門控制記為:

最終輸出由輸出門控制和神經元狀態共同構成。



綜上所述,LSTM神經網絡通過門函數來控制細胞狀態和調整權值向量[25],實現對所需信息的篩選和運算并丟棄不需要的數據,從而保持在長時間序列處理上的高效性和準確性。
試驗中構建監督式LSTM神經網絡,激活函數選擇Sigmoid函數,損失函數選擇均方誤差函數,優化算法選擇Adams,指數衰減率β1、β2分別取0.9和0.999。

通過對實驗獲得的樣本數據進行分割采樣,采樣頻率 0.1 s,獲得各條件下訓練集樣本數量分別為1401、641、576、475。訓練集作為輸入,對強度模型進行建立和誤差檢測,當誤差滿足模型需求時,保存模型,否則調整參數繼續訓練。訓練結果如圖12所示。4種缺口深度下的鈦合金斷裂模型預測誤差(MSE)分別為0.02、2.13、3.10和1.34,可以認為具有良好的擬合效果。
4、結論
本文針對TC4鈦合金葉片再制造過程中會出現的表面打磨缺口深度對其斷裂性能的影響進行了一系列實驗仿真分析,并利用LSTM神經網絡構建了鈦合金強度分析模型,最終獲得以下結論:
(1)表面缺口的存在在一定程度上降低了TC4鈦合金工件的承載能力,且隨著缺口深度的增加,TC4鈦合金工件的承載能力進一步降低。當缺口深度超過板厚50%時,由于缺口部位的承載能力過低,試件斷裂形式轉變為脆性斷裂,此時的缺口試樣承載能力遠低于表面無缺口試樣。
(2)引起表面缺口TC4鈦合金工件強度失效的主要原因來自缺口底部的應力集中,且隨著缺口深度的遞增,應力集中現象愈發嚴重。應力集中系數可定量表達應力集中現象的嚴重程度,修正后的Inglis公式對于表面存在橢圓形缺口試件的應力集中系數預測準確率高于90%,在工程保守設計中具有一定的應用意義。
(3)結合修正Inglis公式和實驗結果分析所得應力集中現象集中發生于試件的缺口底部,但在邊界等存在有曲率突變的區域存在顯著惡劣的應力集中現象。因此在缺口件的處理過程中,為減少應力集中帶來的負面影響,需要盡可能避免產生此類表面。
(4)利用LSTM構建用于TC4鈦合金工件表面缺口斷裂行為的分析模型,通過對模型參數的調整,經過訓練得到的強度分析模型的預測誤差MSE均小于10,可以認為具有良好的預測效果。因此該模型適用于分析和預測TC4鈦合金工件的強度分析,對于TC4鈦合金工件的強度破壞評價具有一定的意義。
參考文獻:
[1]王金龍,高斯博,楊宇星,等.航空發動機用鈦合金TC17疲勞失效研究[J].哈爾濱工程大學學報,2021,42(8):1203-1208.
WANG Jinlong, GAO Sibo, YANG Yuxing, et al. Fatigue failure analysis of titanium alloy TC17 for aircraft engine[J]. Journal of Harbin engineering university,2021,42(8):1203-1208.
[2]郭育豪,劉剛,宋育澤.鈦合金室溫受壓蠕變損傷本構模型[J].哈爾濱工程大學學報,2024,45(4):642-650.GUO Yuhao, LIU Gang, SONG Yuze. Creep damage constitutive model of titanium alloys under compression at room temperature[J]. Journal of Harbin engineering university,2024,45(4):642-650.
[3] WANG Jinlong, PENG Wenjie, YU Jing, et al. Fatigue evaluation of TC17 titanium alloy shaft with surface
scratch based on FEA and fracture mechanics[J].Engineering failure analysis,2020,117:104961.
[4]仲賽風,靳國永,陳玉坤,等.旋轉葉片的振動分析與結構優化研究綜述(英文)[J].Journal of Marine Science and Application,2025,24(01):120-136.
[5] ZUO Shiwei, MIAO Qiang, LIANG Wenping, et al.Effects of pretreatment on borocarburized of TC4 titanium alloy[J]. Materials research express,2019,6(5):056505.
[6]鄧德偉,于靜,劉倩倩,等.裂紋止裂愈合技術發展現狀及展望[J].機械工程學報,2016,52(7):122-132.
DENG Dewei, YU Jing, LIU Qianqian, et al. States and prospects of crack arrest and healing technology[J].Journal of mechanical engineering,2016,52(7):122-132.
[7] RODRGUEZ-SANCHEZ J E, RODRGUEZ-CASTELLANOS A, PREZ-GUERRERO F, et al.Offshore fatigue crack repair by grinding and wet welding[J]. Fatigue& fracture of engineering materials&structures,2011,34(7):487-497.
[8]NISHIMURA Y, YANASE K, TANAKA Y, et al. Effects of mean shear stress on the torsional fatigue strength of a spring steel with small scratches[J]. International journal of damage mechanics,2020,29(1):4-18.
[9]NISHIMURA Y, YANASE K,IKEDA Y,et al. Fatigue strength of spring steel with small scratches[J]. Fatigue&fracture of engineering materials& structures,2018,41(7):1514-1528.
[10]王小明.均勻拉伸開孔加筋無限板的應力半解析算法[J].哈爾濱工程大學學報,2025,46(01):181-188.
[11]DING Mingchao,ZHANG Yuanliang, LI Bo,et al. Total fatigue life prediction of TC4 titanium alloy based on surface Notch[J]. Engineering failure analysis,2022,131:105868.
[12]DING Mingchao, ZHANG Yuanliang, XIAN Hongwei.Estimation on stress concentration factor of rem-anufacturing notch for TC4 titanium alloy[C]// JE Proceedings of 2019 5th International Conference on Advances in Energy Resources and Environment Engineering(ICAESEE 2019)(VOL.1).Chongqing:Yantai University,2019:11-15.
[13]HSU W H,CHIEN Wanting. Effect of electrical discharge machining on stress concentration in titanium alloy holes[J]. Materials,2016,9(12):957.
[14] ZHANG Jinrui, SHAH S A A, HAO Yulin, et al. Weak fatigue Notch sensitivity in a biomedical titanium alloy exhibiting nonlinear elasticity[J]. Science China materials,2018,61(4):537-544.
[15] OZKAN M T, ERDEMIR F. Determination of stress concentration factors for shafts under tension[J]. Materials testing,2020,62(4):413-421.
[16]范航舟,梅紅巖,趙勤,等.融合雙注意力機制的 GNN多維時間序列預測[J].智能系統學報,2024,19(05):1277-1286.
[17] LI Hui, WANG Xuesong, DING Shifei. Research and development of neural network ensembles: a survey[J].Artificial intelligence review,2018,49(4):455-479.
[18] AWD M, MUNSTERMANN S, WALTHER F. Effect of microstructural heterogeneity on fatigue strength predicted by reinforcement machine learning[J]. Fatigue& fracture of engineering materials& structures, 2022,45(11):3267-3287.
[19] WANG Jinlong, PENG Wenjie, BAO Yongjie, et al.VHCF evaluation with BP neural network for centrifugal impeller material affected by internal inclusion and GBF region[J].Engineering failure analysis,2022,136:106193.
[20] LIN Huaixin, JIN Gang, ZHAN Qiyun, et al. Mechanical properties and constitutive model of TC4 titanium alloy at cryogenic[J]. Journal of materials engineering and performance,2024,33(24):13731-13743.
[21]崔佳旭,王恩,吳春國,等.人工智能驅動的復雜動態系統表征與建模[J].計算,2025,1(06):15-31.
[22]張波,胡昌華,張浩,等.機器學習應用于隨機退化設備剩余壽命預測的綜述[J].哈爾濱工程大學學報,2024,45(09):1783-1790.
[23]楊光,雷宏剛,焦晉峰.鋼結構用摩擦型高強度螺栓應力集中系數解析解[J].科學技術與工程,2019,19(15):233-237.
YANG Guang, LEI Honggang, JIAO Jinfeng. Analytical solution of stress concentration factor of frictional high-strength bolt for steel structure[J]. Science technology and engineering,2019,19(15):233-237.
[24][24] SCHWAB R, HARTER A. Extracting true stresses and strains from nominal stresses and strains in tensile testing[J]. Strain,2021,57(6):e12396.
[25]XIAO Lei, HUA Jianmin, LI Heng, et al. Quantitative analysis on post-fire-resistant performance of high-strength steel plate girders using LSTM[J]. Journal of constructional steel research,2022,199:107588.
(注,原文標題:基于長短期記憶網絡的航空用TC4鈦合金缺口件斷裂行為分析_張紅哲)
相關鏈接