隨著現代航空技術的發展,航空產品對結構件的使用性能提出了越來越高的要求。TC4鈦合金作為現役航空產品上使用最廣泛的鈦合金材料之一,多用于制造航空產品上大尺寸的承力部件,這類零件在服役過程中受震動載荷和外力的影響,發生變形和疲勞失效的風險較高,會大大降低服役壽命。為了提高零件在復雜環境下的使用壽命,需要對零件進行表面改性處理。激光沖擊強化[Laser shock peening,LSP]技術是一種新型的材料表面改性技術,它是利用強激光束產生等離子沖擊波,將沖擊波作用在零件表面,使零件表層材料產生微觀組織的變化并形成殘余壓應力,從而提高材料抗疲勞、抗磨損和抗腐蝕等性能。本試驗以TC4鈦合金為研究對象,使用X射線衍射儀、顯微硬度計分析激光沖擊強化工藝對TC4鈦合金殘余應力及顯微硬度的分布規律,采用激光共聚焦顯微鏡來獲取激光沖擊強化后樣品表面的三維形貌信息,獲取高分辨率的表面形貌數據,定量評估激光沖擊強化對表面形貌的影響。
1、試驗材料與方法
試驗材料為退火態TC4鈦合金板材,試樣制備前先對其進行650℃× 240min[爐冷]的真空去應力退火,再進行無應力拋光處理,待激光沖擊強化試樣尺寸為20mmx20mmx20mm。激光沖擊強化試驗采用Nd:YAG激光器,吸收保護層和約束層分別采用0.1mm厚鋁箔和約1mm厚的去離子水層,工藝參數見表1,強化后使用X射線衍射儀對試樣進行殘余應力測試,采用顯微硬度計進行硬度檢測,采用激光共聚焦顯微鏡獲取激光沖擊強化后試樣表面的三維形貌信息。
表1 激光沖擊強化工藝參數
Table 1 Process parameters of the LSP
| 工藝 | 方形光斑/ [mm × mm] | 脈沖能量/J | 脈脈沖寬度/ ns | 光光斑搭接率/% | 強化次數 |
| 1 | 5×5 | 20 | 15 | 20 | 1 |
| 2 | 5×5 | 30 | 15 | 20 | 1 |
| 3 | 5×5 | 30 | 15 | 20 | 2 |
| 4 | 5×5 | 30 | 15 | 20 | 3 |
2、試驗結果與分析
2.1殘余應力分布
圖1為4種激光沖擊強化工藝處理后,試樣表面殘余應力隨深度變化情況。殘余應力深度測試過程采用腐蝕剝離法,以不引入加工應力的前提下逐漸增加測試位置與初始表面之間的距離。由圖1可以看出,激光沖擊強化TC4鈦合金表面殘余應力為壓應力,主應力[σ主]隨著測試深度的增加而逐漸減小,其中工藝4處理試樣的應力水平最高,工藝1處理試樣的應力水平最低,工藝3處理試樣與工藝4處理試樣的應力水平相當,而不同測量角度[]下的應力值并未隨深度變化呈現明顯規律,這說明主應力測試方法較通常進行的單次測量能夠更加準確地體現出測量位置的殘余應力水平。

通過對比1號和2號工藝的σ主 數據可以發現,增加激光能量會增加激光功率密度,從而增加沖擊波強度,獲得更高表面殘余壓應力和應力層深度。通過對比2~4號工藝的σ主 數據可以發現,多次沖擊可以改善部件表面殘余壓應力分布,增大表面殘余壓應力和應力層深度。但隨著沖擊次數增多,材料硬化,增大了動態屈服強度,從而使材料的塑性變形更加困難,應力層深度不會隨沖擊次數增加而一直增大。
上述殘余應力測試結果表明,激光沖擊強化能夠在TC4鈦合金表面 1~2 mm深度范圍內引入顯著的殘余壓應力。這些殘余壓應力在表面層形成一種壓縮狀態,殘余壓應力不僅可以減小金屬材料表面的裂紋擴展傾向,提高材料的抗疲勞性能,還可以抵消外界應力對金屬材料的影響,減少應力腐蝕和應力腐蝕開裂的傾向。
2.2組織和硬度
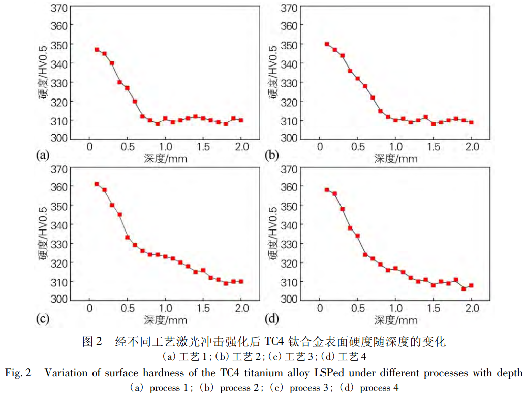
硬度可反映材料的綜合性能,表示金屬材料在一個小的體積范圍內抵抗彈性變形、塑性變形的能力。圖2為4種工藝激光沖擊強化試樣的表面顯微硬度隨深度變化的情況,可以看出,顯微硬度隨深度的增加而不斷減小,并逐漸穩定于基體硬度值310 HV0.5。根據硬度變化曲線可以大致判斷出不同工藝處理試樣的激光沖擊強化深度,1~4號工藝處理試樣的強化深度分別約為0.8、1.0、1.8和1.5mm。

從圖2可以明顯看出, 4個試樣的顯微硬度從低到高排序為 1、2、4、3號工藝,其規律與圖 1所體現的殘余應力排序規律一致。這是因為殘余應力和顯微硬度均受塑性變形后的位錯增殖的影響。硬度和殘余應力之間存在一定的相關性,這是由激光沖擊強化過程的物理效應所決定的。高硬度表面能夠抵抗外界的劃傷、磨損和變形,從而減少局部應力集中的可能性。這使得材料在受到疲勞加載時能夠更好地抵抗表面損傷和裂紋的擴展。激光沖擊強化過程引入的殘余應力可以改善金屬材料的應力分布,它可以抵消外部加載時產生的應力集中,并將應力分散到材料的整個截面,這有助于減少裂紋的起始和擴展,提高材料的抗疲勞性能。
2.3表面形貌
圖3為激光共聚焦顯微鏡成像圖,可以直觀地看出3號工藝處理試樣的表面起伏情況最嚴重,3號工藝處理試樣在搭接位置有明顯的隆起現象,2號工藝處理試樣表面平整度較好,1號工藝處理試樣表面最平坦。這說明在激光沖擊強化工藝中,激光功率對沖擊坑深度有直接影響,較高的激光功率通常會導致更深的沖擊坑,而較低的激光功率則會產生較淺的沖擊坑。高功率激光的能量密度足夠大,可以引起金屬材料發生更大程度的塑性變形,從而形成較大的凹坑或壓痕。強化次數是激光沖擊強化過程中的另一個重要參數,它對沖擊坑深度有一定的影響。通常情況下,增加強化次數可以導致沖擊坑的深度增加。隨著連續進行多次沖擊強化,每次沖擊都會在金屬表面形成一定的沖擊坑。這些沖擊坑的疊加效應會導致整體的沖擊坑深度增加。每次沖擊坑的形成都會改變金屬表面的形貌和結構,進而影響下一次沖擊的結果。

激光功率和強化次數導致較高殘余應力和硬度的同時也增加了表面粗糙度。因此,在實際應用中,需要綜合考慮多個因素,并進行試驗研究以確定最佳的強化次數和其他工藝參數組合,以實現所需的沖擊坑深度和表面改性效果。
3、結論
1)激光沖擊強化TC4鈦合金表面殘余應力測試發現,主應力測試方法較通常進行的單次測量能夠更加準確地體現出測量位置的殘余應力水平。增加激光能量會增加激光功率密度,從而增加沖擊波強度,獲得更高的表面殘余壓應力峰值,且主應力峰值隨著深度的增加而逐漸減小。多次沖擊可以提高TC4鈦合金表面殘余壓應力峰值和深度,但應力層深度不會隨沖擊次數增加而一直增大。
2)激光沖擊強化TC4鈦合金表面硬度和殘余應力變化趨勢相同,從試樣硬度變化曲線可以大致判斷出不同試樣的激光沖擊強化深度。脈沖能量20J、沖擊1次試樣的強化深度約為0.8mm,脈沖能量30J、沖擊1~3次試樣的強化深度分別約為1.0、1.8和1.5mm。
3)提高激光功率和強化次數,在獲得較高的表面殘余壓應力和硬度的同時,也會增加表面粗糙度。在實際應用中,需要綜合考慮多個因素,實現所需的表面質量和表面改性效果。
參考文獻:
[1]國凱,武沖,孫杰.航空整體結構件數控加工變形預測及控制技術研究進展[J].航空制造技術,2022,65[21]:112-127.
Guo Kai, Wu Chong, Sun Jie. Research progress on NC machining distortion prediction and control technology of aeronautical monolithic components[J]. Aeronautical Manufacturing Technology, 2022, 65[21]:112-127.
[2]蘇振龍.大型航空結構件比較式的優化設計[].軍民兩用技術與產品,2015[12]:15-16.
[3]譚聰,肖寒,張宏宇,等.固溶時效對海綿鈦/電解鈦熔煉TC4鈦合金熱軋板材組織與性能的影響[J].稀有金屬材料與工程,2020,49[12]:4290-4296.
Tan Cong, Xiao Han, Zhang Hongyu, et al. Effect of solution and aging treatment on microstructure and properties of TC4 titanium alloy hot-rolled sheet by sponge titanium/electrolytic titanium melting[J].Rare Metal Materials and Engineering, 2020, 49[12]:4290-4296.
[4]鄒偉,彭金波,韓中寶.TC2鈦合金的高溫力學性能及預測模型[J].金屬熱處理,2026,51[1]:56-64.
Zou Wei, Peng Jinbo, Han Zhongbao. High-temperature mechanical properties and predictive models of TC2 titanium alloy[J]. Heat Treatment of Metals, 2026, 51[1]: 56-64.
[5]孫汝劍,李劉合,朱穎,等.激光沖擊強化對TC17鈦合金微觀組織及拉伸性能的影響[J].稀有金屬材料與工程,2019,48[2]:491-499.
Sun Rujian, Li Liuhe, Zhu Ying, et al. Effect of laser shock peening on microstructure and tensile properties of TC17 titanium alloy[J].Rare Metal Materials and Engineering, 2019, 48[2]: 491-499.
[6]昝耀旭,賈蔚菊,趙恒章,等.激光沖擊對Ti834合金殘余應力及顯微組織的影響[J].稀有金屬材料與工程,2019,48[11]:3535-3540.
Zan Yaoxu, Jia Weiju, Zhao Hengzhang, et al. Effect of laser shock processing on residual stress and microstructure of Ti834 titanium alloy[J]. Rare Metal Materials and Engineering, 2019, 48[11]:3535-3540.
[7]喬紅超,胡憲亮,趙吉賓,等.激光沖擊強化的影響參數與發展應用[].表面技術,2019,48[12]:1-9,53.
Qiao Hongchao, Hu Xianliang, Zhao Jibin, et al. Influence parameters and development application of laser shock processing[J]. Surface Technology,2019,48[12]:1-9,53.
[8]魯金忠.激光沖擊強化鋁合金力學性能及微觀塑性變形機理研究[D].鎮江:江蘇大學,2010.
Lu Jinzhong. Investigation of laser shock processing on the mechanical properties and micro-plastic deformation mechanism of LY2 aluminum alloy[D]. Zhenjiang: Jiangsu University,2010.
[9]聶祥樊,何衛鋒,王學德,等.激光沖擊強化對TC17鈦合金微觀組織和力學性能的影響[].稀有金屬材料與工程,2014,43[7]:1691-1696.
Nie Xiangfan, He Weifeng, Wang Xuede, et al. Effects of laser shock peening on microstructure and mechanical properties of TC17 titanium alloy[J]. Rare Metal Materials and Engineering, 2014, 43[7]:1691-1696.
[10]聶祥樊,龍霓東,劉海雷,等.激光沖擊強化對TC17表面硬度的影響[J].機械設計與制造,2012[1]:198-200.
Nie Xiangfan, Long Nidong, Liu Hailei, et al. Effect of laser shock peening on surface hardness of TC17 titanium alloy[J]. Machinery Design& Manufacture, 2012[1]: 198-200.
[11]喬紅超,高宇,趙吉賓,等.激光沖擊強化技術的研究進展印.中國有色金屬學報,2015,25[7]:1744-1755.
Qiao Hongchao, Gao Yu, Zhao Jibin, et al. Research process of laser peening technology[J]. The Chinese Journal of Nonferrous Metals, 2015, 25[7]: 1744-1755.
(注,原文標題:激光沖擊強化對TC4鈦合金殘余應力及表面質量的影響_康沖)
相關鏈接